AoA/AoD運用藍牙技術,給室內定位帶來全新框架
藍牙到達角(AoA)和出發角(AoD)技術給室內定位標準帶來新框架。利用此技術,室內定位的基本問題可分為判斷射頻信號的到達角和離開角。現在有很多企業開始在AoA/AoD上投入研發力量。例如深圳信馳達將會在AoA/AoD上,投入研發力量進行實驗與測試。
定位功能是戶外應用需求中備受關注的功能,定位技術中不乏有很多實用的應用,例如在世界各地被廣泛運用的GPS。
在室內環境無法使用GPS等衛星定位時,需要更精確的室內定位技術。使用室內定位技術作為衛星定位的輔助定位,可以有效解決衛星信號到達地面時穿越建筑困難的問題,最終定位物體當前所處的位置。藍牙5.0標準發布以來,越來越多基于藍牙5.0的應用被開發出來。現在,室內定位技術AoA/AoD建立室內定位新框架,利用藍牙尋向算法,使室內定位更加精準簡單。
藍牙AoA/AoD技術使用外部追蹤系統測量某個對象的位置或角度,追蹤設備在室內環境中的位置。這種定位系統可以運用于倉庫的物流追蹤或商場顧客位置追蹤,人們可以將其用于定位尋路。
AoA技術以接收器和發射器為基礎。例如,一個多天線線性數組的設備作為接收器,另一個單天線的設備作為發射器,假設無線電波作為平面波面而非球形。如果在空中發送正弦波的發射器,位于與數組線垂直的法線,則數組中的每個天線將接收相同相位的輸入訊號。如果發射器不在法線,則接收天線將測量信道之間的相位差,利用相位差信息估算到達角度。

無線電波以300,000km/s的光速傳播。采用大約2.4GHz頻率時,相應波長約0.125m。大多數估計算法中,兩個相鄰天線之間的最大距離是半波長。許多算法都須滿足這項條件,否則將導致失真。理論上并沒有最短距離限制,但實際上,最小尺寸受限于數組的機械尺寸,譬如天線各組件之間的相互耦合。
對于出發角,測量相位差的基本原理是相同的,但裝置角色互換。在AoD中,被追蹤的裝置僅使用一個單天線,而發射器裝置則使用多天線。發射裝置依序轉換發射天線,讓接收側了解到天線數組架構并轉換序列。從應用的角度,能發現這兩種技術之間存在明顯差異。在AoD中,接收裝置根據多個目標角度和位置計算本身在空間中的位置。在AoA中,接收裝置追蹤各個對象的到達角度。

在藍牙AoA與AoD中,相關的控制數據通過傳統的數據信道傳輸。通常這些技術能測量出精確的角度和0.5公尺左右的定位精度,且高度依賴定位系統產生的數據。
此外,訊號噪聲、頻率抖動和信號傳輸延遲,也會對角度估算法造成很多影響。根據系統規模,如果在嵌入式系統中,對于RAM尤其是CPU的要求可能非常嚴格,許多高效能的角度估算法需要具備強大處理能力的CPU才能執行。
現在的室內定位技術中,很多運用的是RSSI進行定位。接收訊號強度指示(RSSI)測量接收訊號的訊號強度來獲得RX和TX之間的近似距離。該信息可運用于來自不同發射器位置的多點距離測量,三角定位接收器的位置。此技術中,每個裝置只需要一個天線,在室內環境卻通常不夠準確。

利用到達時間/飛行時間(ToA/ToF),可測量RX和TX之間的訊號傳輸時間,并計算兩端點的距離。再用此距離三角定位接收器的位置。
AoA/AoD是新興技術,可用于資產追蹤以及室內定位和尋路。這些相位基礎的尋向系統,需要天線數組、RF開關來運行估計算法。設計適合的天線數組和角度估計算法,對RTLS系統至關重要。而效能強大的估計算法在運算上通常不便宜。其他定位技術包括RSSI基礎方法和ToA基礎方法,但目前,只有相位基礎的AoA/AoD在藍牙中具有標準架構。
藍牙室內定位功能在市面上已有很多成熟的案例,例如在零售領域,將傳統的燈具切換成具備藍牙Beacon能力的智能燈后,可以幫助客戶和員工在商場里導航,并更快、更容易地找到商品。商家也可以利用藍牙信標進行個性化促銷,以創造更好的購物者體驗,增加銷售額。
藍牙室內定位功能也能給用戶帶來更有趣味的體驗,在博物館里,具備藍牙功能的LED模組和傳感器可以檢測溫度和濕度水平,以幫助保護無價的藝術品,同時減少維護和日常開銷。這些智能設備可以提供興趣點信息和尋路服務,以增強游客體驗。
信馳達在AoA/AoD技術應用的投入,勢必將會為室內定位應用方案帶來更多更合適的選擇。
如需了解更多,請聯系深圳市信馳達科技有限公司。聯系方式:0755-86329829
附:AoA/AoD估計算法原理
透過尋向剖析AoA/AoD理論
角度估算方法和天線數組對定位系統的正常運作至關重要。定位尋向(Direction Finding)理論的歷史可追溯至一百多年前,試圖采用定向天線解決這個問題,而當時顯然是單純的模擬系統。接下來的數年中,測試方法轉移到數字世界,但基本原理仍然非常類似。這些尋向方法已被廣泛的應用,例如醫療器材、安全和軍事設備。
在本段落中,將討論一些典型天線數組和估計算法的基礎概念。藉由尋向,進而涉及估算到達角和出發角的基本問題。
天線數組
用于尋向的天線數組可分為幾種類型。這里討論的是最普遍的均勻線性數組(ULA)、均勻矩形數組(URA)和均勻圓形數組(UCA)。線性數組是一維數組,這是指數組中所有天線皆位于一條在線,而矩形和圓形數組則是二維數組,意味天線分布于兩個維度(在一個平面上)。透過一維天線數組,假設被追蹤的裝置始終在同一平面上移動,便能可靠測量出方位角。但透過二維數組,能進一步測量出3D半空間中的方位角和仰角。假若數組擴展成完整的3D數組(天線分布于三個直角坐標上),便能測量完整的3D空間。
設計用于尋向的天線數組不是一項簡單的任務。天線置于數組中時會彼此影響,這稱為互相耦合。多數情況下,設計者無法控制發射端的極化。這為設計人員帶來額外的挑戰。在物聯網(IoT)應用中,通常默認這些裝置很小,甚至在高頻段中運作。估計算法通常具備某些數組特性,例如ESPRIT估計算法,數學假設上數組被分為兩組相同的子數組。
角度估計算法
接下來,看看輸入IQ數據來估算到達角的數學/算法問題。問題定義很簡單:估算發射(窄頻)訊號抵達接收數組的到達角。雖然這項陳述看似微不足道,但是對這個問題而言,尋找到一個強效(且在現實中運行)的解決方案并不容易,強大的硬件處理能力也相當關鍵。
接下來,將介紹兩種不同解決方法。第一種是基本的,經典波束成形器。第二種是較先進的技術,多重訊號分類(MUSIC)。在此不會用任何定理或原因驗證這些方法的工作原理,僅用高視野來探討算法如何運作。
經典波束成形器
從均勻線性數組的數學模型談起。假設每個天線對應一個IQ樣本的數據向量稱為x。在測量中,每個天線都可以看到相移(可能為0)加上一些噪聲n,所以x可以計算時間函數t:
其中,s代表空中的發射訊號,a是天線數組的導引向量。
d是相鄰天線之間的距離;λ是訊號波長;m是天線數組中的組件數量,θ代表到達角。
導引向量(2)描述各個天線上的訊號,因為到達發射器的距離變化而相移。藉由(1),可以計算出所謂的樣本共變異數矩陣Rxx近似值:
H代表Hermitian轉置矩陣。
可看到樣本共變異數矩陣(3)將作為估計算法的輸入數據。
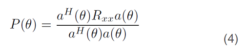
經典波束成形器的概念是最大化輸出功率作為角度的函數,類似機械雷達的運作方式。若要將功率最大化,最終可得出以下公式:
為了找出到達角,須要代入到達角θ并計算功率P的最大值。產生最大功率的角度或θ對應的到達角。
多重訊號分類(MUSIC)
這種估計算法是所謂的子空間估算,其中盛行的一種算法稱為MUSIC(多重訊號分類)。這個算法的概念是對共變異數矩陣Rxx進行特征分解:
其中,A是包含特征值的對角矩陣,V是包含Rxx的對應特征向量。
假設,嘗試計算一個發射器采用n天線線性數組的到達角。可以證明,Rxx的特征向量或者屬于所謂的噪聲子空間或屬于訊號子空間。如果特征值按升冪排序,對應的n-1特征向量跨越噪聲子空間,該子空間與訊號子空間正交。從正交信息,可以計算偽頻譜P:
在經典波束成形器中,不斷代入期望θ值來計算P的最大值,其對應于我們期望測量的到達角(參數θ)。
理想情況下,MUSIC在良好的SNR環境中具有出色的分辨率,而且非常準確。另一方面,當輸入訊號高度相關時,特別在室內環境中,效能較弱。多徑效應使偽頻譜失真,導致在錯誤的位置產生最大值。
空間平滑化
空間平滑化是解決由多徑(產生相干訊號時)所引發問題的一種方法。可以證明,利用原始共變異數矩陣的子數組可以計算出平均共變異數矩陣,讓訊號共變異數矩陣「去相干」。對于二維數組,公式可寫成:
其中,MS和NS分別是x和y軸上的子數組數,Rmn代表(m,n):子數組共變異數矩陣。
由公式得到的共變異數矩陣便是共變異數矩陣的「去相干」版本,輸入到MUSIC算法便能產生正確結果。空間平滑化的缺點是它縮減了共變異數矩陣的大小,降低估算的準確性。